4001690900
QQ:1106655557
邮箱:1106655557@qq.com
地址:重庆市江北区观音桥街道建新东路光宇阳光海岸B栋26楼
化妆品原料图谱:表面活性剂—甲基月桂酰基牛磺酸钠(MLT)
更新时间:2025-12-25
化妆品原料知多少,茗香乡逐一来揭晓!茗香乡专注研发生产山茶油、茶皂素特色化妆品,今天我们介绍甲基月桂酰基牛磺酸钠(MLT)。
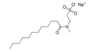
甲基月桂酰基牛磺酸钠,在《已使用化妆品原料名称目录(2021 版)》中,它的序号是 03336,CAS 号为4337-75-1,分子量为 343.4。
结构式:

从外观上看,它呈现白色至浅黄色粉末。其水溶性较好,耐硬水、耐酸碱,降低表面张力的能力与脂肪醇聚醚硫酸酯钠相近,发泡性能也相似。
作为安全无刺激的氨基酸型表面活性剂,它含亲水氨基酸结构,对皮肤刺激性非常小,生物降解性能优异,使用安全。在宽泛的pH条件下,泡沫丰富、细腻且稳定,使用后能让肌肤感觉舒爽,与多种表面活性剂配伍良好,同时对珠光有协增效果。
它主要应用于泡沫浴液、高级香波、泡沫洗面奶等产品,去污和乳化能力强,泡沫性能良好,让毛发和皮肤有滋润、洁净、温和的体验。在用量上,淋洗类产品*高历史使用量为5%,驻留类产品*高历史使用量为0.5%。
相关研究:
[1]毛雪彬,洪玉倩,李伏益,等.月桂酰基甲基牛磺酸钠的合成与性能研究[J].中国洗涤用品工业,2019,(10):46-50.
[2]曾平,汤志球,张岳花,等.直接法合成月桂酰基甲基牛磺酸钠[J].日用化学工业,2012,42(01):27-29.
关注茗香乡,化妆识真章!每天一个小知识,明天继续!
免责声明:
一、本篇文章主要参考学术论文、学术报告、政府文件、正式出版的古今书籍撰写,目的在于科普宣传,如有版权问题或者内容方面的问题,请与本网站所属公司联系。
二、本文不对引用的信息的准确性、可靠性或完整性提供任何明示或暗示的保证。对于任何因直接或间接采用、转载本文所提供信息造成的损失,本网站及其所属公司均不承担责任。如因使用本文资料而触犯中华人民共和国法律,使用者应自行承担全部责任。
三、本文中的观点和结论均来自参考文献中的信息,不代表“茗香乡”品牌旗下产品一定具备相应的特点。
四、本文为原创作品,凡以任何方式直接、间接使用本文资料者,请与本网站所属公司联系以获得授权。
五、本免责声明以及其修改权、更新权及*终解释权均属重庆茗香乡农业科技有限公司。


渝公网安备 50011202503634号