4001690900
QQ:1106655557
邮箱:1106655557@qq.com
地址:重庆市江北区观音桥街道建新东路光宇阳光海岸B栋26楼
化妆品原料图谱:增稠剂—PEG-120甲基葡糖二油酸酯
更新时间:2026-03-20
化妆品原料知多少,茗香乡逐一来揭晓!茗香乡专注研发生产山茶油、茶皂素特色化妆品,今天我们介绍PEG-120甲基葡糖二油酸酯。
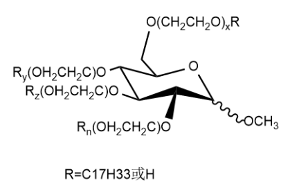
PEG-120甲基葡萄糖二油酸酯,INCI名PEG-120 METHYLGLUCOSEDIOLEATE,在《已使用化妆品原料名称目录(2021 版)》中有着专属序号00520,CAS号为86893-19-8。PEG-120甲基葡萄糖二油酸酯一般是淡黄色片状、蜡状固体,建议使用时的水溶液PH值范围为4~9。
PEG-120甲基葡糖二油酸酯是一种天然葡萄糖衍生的,专门用于洗发水,沐浴露,洗面奶,洗手液,儿童洗沐等产品。它对眼睛没有刺激性,也可显著降低其他表面活性剂对眼睛的刺激,与阳离子调理剂或者发用染料配伍,有出色的透明度和肤感,不影响泡沫性能,可与电解质协同增效; 在洗发水,洗面奶,沐浴露中使用AOS,AES钠盐,磺基琥珀酸酯盐、两性表面活性剂、氨基酸表活和茶皂素时具有良好的复配与增稠作用。
在参考用量方面,淋洗类产品*高历史使用量为9%,驻留类产品*高历史使用量为2.5%。
参考文献:
[1]谢琳,张羽,曹国庆,等.温和氨基酸类表面活性剂泡沫洁面乳的制备[J].广州化学,2018,43(06):41-45.DOI:10.16560/j.cnki.gzhx.20180610.

免责声明:
一、本篇文章主要参考学术论文、学术报告、政府文件、正式出版的古今书籍撰写,目的在于科普宣传,如有版权问题或者内容方面的问题,请与本网站所属公司联系。
二、本文不对引用的信息的准确性、可靠性或完整性提供任何明示或暗示的保证。对于任何因直接或间接采用、转载本文所提供信息造成的损失,本网站及其所属公司均不承担责任。如因使用本文资料而触犯中华人民共和国法律,使用者应自行承担全部责任。
三、本文中的观点和结论均来自参考文献中的信息,不代表“茗香乡”品牌旗下产品一定具备相应的特点。
四、本文为原创作品,凡以任何方式直接、间接使用本文资料者,请与本网站所属公司联系以获得授权。
五、本免责声明以及其修改权、更新权及*终解释权均属重庆茗香乡农业科技有限公司。


渝公网安备 50011202503634号