重庆茗香乡农业科技有限公司,茗香乡茶油
热线电话 Telephone

4001690900

重庆茗香乡农业科技有限公司-茗香乡茶油
联系我们
全国咨询热线:
4001690900

QQ:1106655557

邮箱:1106655557@qq.com

地址:重庆市江北区观音桥街道建新东路光宇阳光海岸B栋26楼

公司首页 » 技术服务 » 化妆品原料科普

化妆品原料图谱:羧甲基纤维素钠(CMC)

更新时间:2026-03-23

化妆品原料知多少,茗香乡逐一来揭晓!茗香乡专注研发生产山茶油、茶皂素特色化妆品,今天我们介绍羧甲基纤维素钠(CMC)。

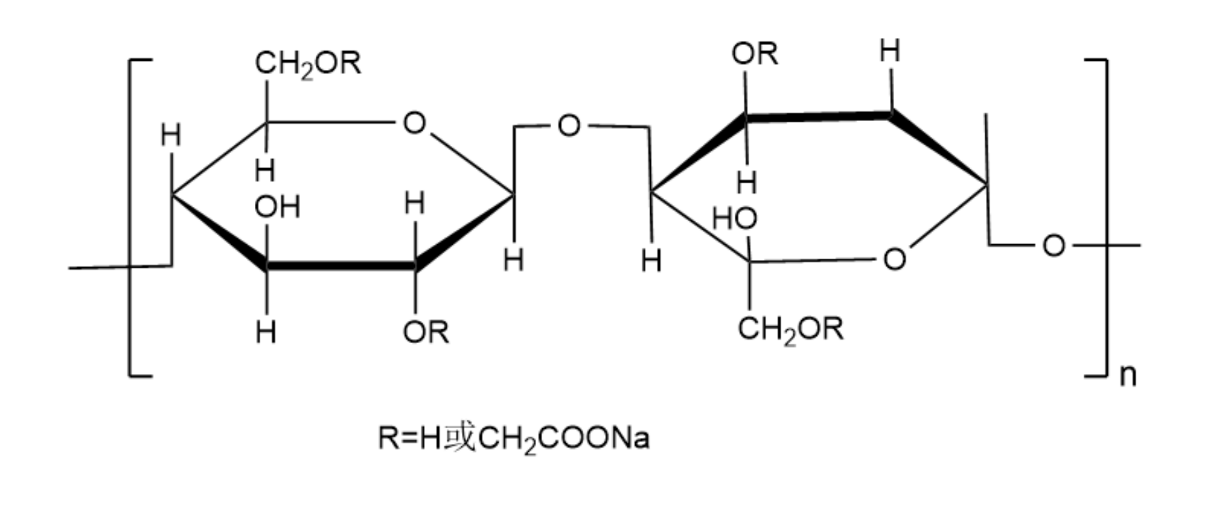
羧甲基纤维素钠(CMC),别名CMC-钠、纤维素胶,甚至在日化行业就简称纤维素(注意这种简称并不正规,其实是若干种纤维素衍生物的俗称),在《已使用化妆品原料名称目录(2021 版)》中可能对应序号0698007750等,CAS号为9004-32-4

6b9bfc04ee05cb8b9915e297a21f1798.png

CMC一般是白色纤维或颗粒状粉末,通常能溶于水,在水中的溶解度与取代基团数量种类都有关。遇盐不沉淀,无臭、无味,不溶于酸、甲酚、乙醇、丙酮、氯仿、苯等,难溶于甲醇、乙醚。对光、热稳定,具有吸湿性。熔点范围274~300℃,沸点在527.1℃左右。

CMC是‌以天然植物纤维素为原料,例如:精制棉、桑枝皮、土豆渣等,经碱化与醚化化学改性‌制得的高分子化合物,*早由德国人E. Jansen于‌1918年合成‌,1921年获专利,1947年经FDA确认为食品级安全性后,广泛应用于食品、医药、化妆品、日花品等领域,兼具天然来源的可再生性与优良的工业性能。

在食品工业中,CMC用作冰淇淋增稠剂、啤酒的泡沫稳定剂等,并利用其增稠、稳定、乳化、成膜、保水等作用,用于制作果冻、乳化型调味品、酱料及水果保鲜涂层等。

在医药工业中,CMC用作药膏和软膏的辅料,并作为片剂的黏合剂、混悬剂的助悬剂等。

在日化及其他工业中,CMC在日化产品中作为增稠剂、悬浮剂、粘结剂、保护胶体等。例如,在以茶皂素为特色的洗衣液或洗洁精产品中,因大量减少AES等原料的使用,保持产品粘度变得困难,经常需要额外添加一些CMC来提升产品整体的粘度。

CMC的吸湿性强对人体无毒对重金属离子较为敏感,在重金属离子存在下易被细菌氧化或降解,在化妆品中可作为增稠剂、乳化稳定剂、胶黏剂等,不过仍需注意部分CMC产品因杂质较多,可能引发过敏反应,驻留类产品使用浓度范围建议 ‌<0.8%‌,淋洗类产品使用浓度范围可放宽至 ‌≤2.0%‌ ‌。

参考文献:

[1]雷聪丽,张晓文.羧甲基纤维素钠复合膜的制备及其性能研究[J].塑料包装,2025,35(05):10-12+414.

[2]于文倩.羧甲基纤维素钠的机械化学法制备及其对重金属离子的螯合性能研究[D].大连理工大学,2025.

[3]郝景昊,高俊琪,张煌,.羧甲基纤维素钠复合涂膜对冷鲜牛肉的保鲜效果[J].粮食与油脂,2025,38(06):68-73.

免责声明:

一、本篇文章主要参考学术论文、学术报告、政府文件、正式出版的古今书籍撰写,目的在于科普宣传,如有版权问题或者内容方面的问题,请与本网站所属公司联系。

二、本文不对引用的信息的准确性、可靠性或完整性提供任何明示或暗示的保证。对于任何因直接或间接采用、转载本文所提供信息造成的损失,本网站及其所属公司均不承担责任。如因使用本文资料而触犯中华人民共和国法律,使用者应自行承担全部责任。

三、本文中的观点和结论均来自参考文献中的信息,不代表“茗香乡”品牌旗下产品一定具备相应的特点。

四、本文为原创作品,凡以任何方式直接、间接使用本文资料者,请与本网站所属公司联系以获得授权。

五、本免责声明以及其修改权、更新权及*终解释权均属重庆茗香乡农业科技有限公司。


热线电话  Telephone:4001690900
电子邮箱  E-mail:1106655557@qq.com
QQ:1106655557
微信  Wechat:18802369191
CopyRight:重庆茗香乡农业科技有限公司  版权所有