4001690900
QQ:1106655557
邮箱:1106655557@qq.com
地址:重庆市江北区观音桥街道建新东路光宇阳光海岸B栋26楼
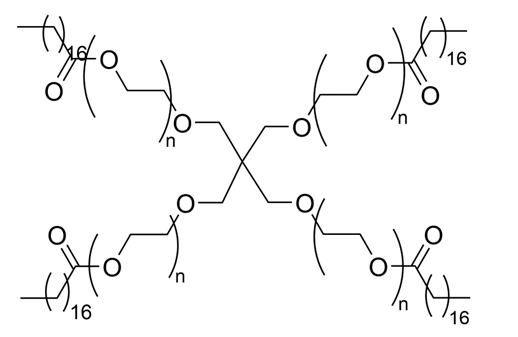
化妆品原料图谱:PEG-150季戊四醇四硬脂酸酯
更新时间:2026-03-28
化妆品原料知多少,茗香乡逐一来揭晓!茗香乡专注研发生产山茶油、茶皂素特色化妆品,PEG-150季戊四醇四硬脂酸酯。
PEG-150季戊四醇四硬脂酸酯,INCI名为:PEG-150 PENTAERYTHRITYLTETRASTEARATE,在《已使用化妆品原料名称目录(2021版)》中可能对应序号00540,CAS号为130249-48-8。
它是一款20世纪末才出现的比较新的化妆品原料,一般是白色蜡状物,能溶于水中,适用PH范围为5~9。

这款原料主要用于不含AES的氨基酸表活体系、氨基酸表活与茶皂素复合体系、不含AES的APG表活体系等不易增粘的情况,刺激性低,也可用于能够降低其他传统表面活性剂带来的潜在刺激性。可应用于护发素、洗发水、沐浴露、液体皂、洗面奶等产品。
推荐用量:淋洗类产品*高历史使用量5.81%,驻留类产品*高历史使用量1%
参考文献:
[1]梁亦欢,杜晶.洗发水体系低温“果冻”现象流变学研究及改善[J].日用化学工业,2022,52(09):920-929.
[2]Cosmetic Ingredient Review Expert Panel. Safety Assessment of PEG-150 Pentaerythrityl Tetrastearate as Used in Cosmetics. Int J Toxicol. 2018;37(1_suppl):67S-75S. doi:10.1177/1091581818794457
免责声明:
一、本篇文章主要参考学术论文、学术报告、政府文件、正式出版的古今书籍撰写,目的在于科普宣传,如有版权问题或者内容方面的问题,请与本网站所属公司联系。
二、本文不对引用的信息的准确性、可靠性或完整性提供任何明示或暗示的保证。对于任何因直接或间接采用、转载本文所提供信息造成的损失,本网站及其所属公司均不承担责任。如因使用本文资料而触犯中华人民共和国法律,使用者应自行承担全部责任。
三、本文中的观点和结论均来自参考文献中的信息,不代表“茗香乡”品牌旗下产品一定具备相应的特点。
四、本文为原创作品,凡以任何方式直接、间接使用本文资料者,请与本网站所属公司联系以获得授权。
五、本免责声明以及其修改权、更新权及*终解释权均属重庆茗香乡农业科技有限公司。


渝公网安备 50011202503634号